Logo da Teachy
Entrar

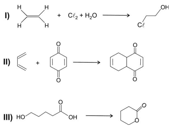
Questão sobre Transformações Químicas

Fonte: FUVEST


Ciências

'EF06CI02'

Transformações Químicas

Médio

(FUVEST 2010) - Questão Médio de Ciências

Question illustration
a.
b.
c.
d.
e.

Gabarito

I, III, II.

Iara Tip

Está montando uma prova ou lista de exercícios?

Na plataforma da Teachy é possível gerar esses materiais automaticamente, sem perder horas buscando por questões 😉

2025 - Todos os direitos reservados

Termos de usoAviso de PrivacidadeAviso de Cookies