Fonte: CMR

Gabarito:
Gabarito
Você precisa ser um professor cadastrado para ver o gabarito
Está montando uma prova ou lista de exercícios?
Na plataforma da Teachy é possível gerar esses materiais automaticamente, sem perder horas buscando por questões 😉
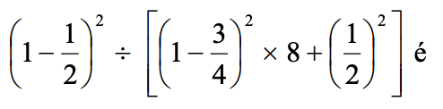
Questão
Questão
Fonte:
ESPM
Algoritmos e Problemas: Médio • 'EM13MAT315, EM13MAT406'
Questão
Questão
Fonte:
FGV
Polinômios: Valores Numéricos
Questão
Questão
Fonte:
UNIFOR
Estatística: Interpretação de Gráficos e Tabelas • 'EM13MAT102, EM13MAT104'
Questão
Questão
Fonte:
OBMEP
Área do Quadrado • 'EM13MAT201, EM13MAT307'
Faça parte de uma comunidade de professores direto no seu WhatsApp
Conecte-se com outros professores, receba e compartilhe materiais, dicas, treinamentos, e muito mais!
2025 - Todos os direitos reservados