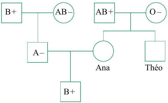
Fonte: UFTM

Gabarito:
Gabarito
Você precisa ser um professor cadastrado para ver o gabarito
Está montando uma prova ou lista de exercícios?
Na plataforma da Teachy é possível gerar esses materiais automaticamente, sem perder horas buscando por questões 😉
Questão
Questão
Fonte:
UCPEL
Reino Plantae: Plantas • 'EM13CNT202'
Questão
Questão
Fonte:
Teachy
Evolução: Introdução • 'EF09CI10, EF09CI11'
Questão
Questão
Fonte:
ENEM
Evolução • 'EM13CNT208'
Questão
Questão
Fonte:
UNIEVANGÉLICA
Corpo Humano: Sistema Reprodutor • 'EM13CNT207'
Faça parte de uma comunidade de professores direto no seu WhatsApp
Conecte-se com outros professores, receba e compartilhe materiais, dicas, treinamentos, e muito mais!
2025 - Todos os direitos reservados