Logo da Teachy
Entrar

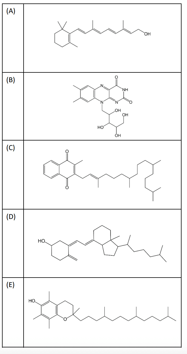
Questão sobre Bioquímica: Vitaminas e Sais Minerais

Fonte: FUVEST


Biologia

'EM13CNT303'

Bioquímica: Vitaminas e Sais Minerais

Médio

(FUVEST 2024) - Questão Médio de Biologia

Question illustration
a.
b.
c.
d.
e.

Gabarito

alternativa B

Iara Tip

Está montando uma prova ou lista de exercícios?

Na plataforma da Teachy é possível gerar esses materiais automaticamente, sem perder horas buscando por questões 😉

2025 - Todos os direitos reservados

Termos de usoAviso de PrivacidadeAviso de Cookies