Logo da Teachy
Entrar

BANCO DE QUESTÕES

Banco de questões: Soluções: Tipos de Solução

Acesse essas e outras milhares de questões, crie listas, planos de aula e provas em minutos

Questão 1:

Médio

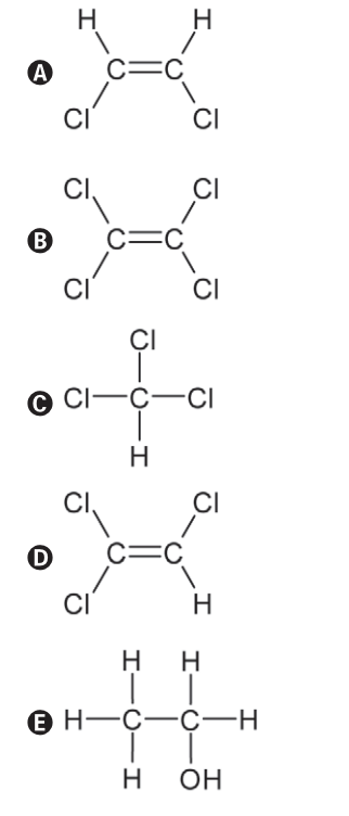
Question illustration
Soluções: Tipos de Solução - EM13CNT303
Questão 2:

Médio

Question illustration
Soluções: Tipos de Solução - EM13CNT303
Questão 3:

Médio

Soluções: Tipos de Solução - EM13CNT303
Questão 4:

Difícil

Soluções: Tipos de Solução - EM13CNT303
Questão 5:

Médio

Soluções: Tipos de Solução - EM13CNT303
Iara Tip

Crie listas e provas a partir dessas e outras questões

Não encontrou o que procurava? Tente buscar de outra forma!

Ano de escolaridade
Digite ou selecione o ano de escolaridade
Disciplina
Digite ou selecione a disciplina

Por que os Bancos de Questões da Teachy são os mais completos disponíveis?

Plataforma completa:

Plataforma completa:

com mais de 200 mil questões inéditas e de fontes renomadas, o banco de questões oferece uma ampla variedade de recursos para enriquecer a produção dos seus materiais didáticos.

Filtros personalizados:

Filtros personalizados:

você encontra questões específicas de acordo com disciplina e nível de escolaridade, em diferentes tipos de dificuldade, dentro de centenas de temas pedagógicos. Assim, você prepara listas personalizadas em poucos minutos.

Foco nos alunos:

Foco nos alunos:

com o Banco de Questões da Teachy, você garante o sucesso das suas turmas. Oferecemos materiais de alta qualidade, criteriosamente selecionados e alinhados à Base Nacional Comum Curricular, fundamental para qualquer produto pedagógico.

Tempo para o que importa:

Tempo para o que importa:

o acesso facilitado da plataforma permite que professores economizem tempo no planejamento de suas aulas. Os materiais são acessados em poucos cliques, tornando a preparação pedagógica simples e eficiente.

Acesso em qualquer lugar:

Acesso em qualquer lugar:

a Teachy oferece flexibilidade de acesso do banco de questões de qualquer lugar, a qualquer momento. Com a acessibilidade, professores têm mais liberdade para gerenciar tempos e recursos, tornando seu trabalho mais ágil.

Veja outros temas relacionados a Soluções: Tipos de Solução

Não encontrou o que desejava?

Tenha acesso completo a dezenas de disciplinas e centenas de conteúdos na Teachy!

2026 - Todos os direitos reservados

Termos de usoAviso de PrivacidadeAviso de Cookies