Logo da Teachy
Entrar

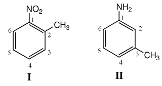
Questão sobre Introdução a Química Orgânica: Compostos Aromáticos

Fonte: IME


Química

'EM13CNT302'

Introdução a Química Orgânica: Compostos Aromáticos

Fácil

(IME 2018) - Questão Fácil de Química

Question illustration
a.
b.
c.
d.
e.

Gabarito
Iara Tip

Está montando uma prova ou lista de exercícios?

Na plataforma da Teachy é possível gerar esses materiais automaticamente, sem perder horas buscando por questões 😉

2025 - Todos os direitos reservados

Termos de usoAviso de PrivacidadeAviso de Cookies