Logo da Teachy
Entrar

Questão sobre Introdução a Química Orgânica: Compostos Aromáticos

Fonte: UEA


Química

'EM13CNT302'

Introdução a Química Orgânica: Compostos Aromáticos

Fácil

(UEA 2020) - Questão Fácil de Química

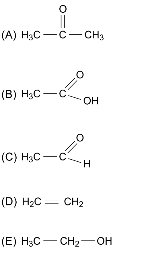
Question illustration
a.
b.
c.
d.
e.

Gabarito

alternativa B

Iara Tip

Está montando uma prova ou lista de exercícios?

Na plataforma da Teachy é possível gerar esses materiais automaticamente, sem perder horas buscando por questões 😉

2025 - Todos os direitos reservados

Termos de usoAviso de PrivacidadeAviso de Cookies