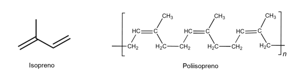
Fonte: UNICISAL

Está montando uma prova ou lista de exercícios?
Na plataforma da Teachy é possível gerar esses materiais automaticamente, sem perder horas buscando por questões 😉
Questão
Questão
Fonte:
Teachy
Reações: Balanceamento • 'EM13CNT101'
Questão
Questão
Fonte:
UNICISAL
Termoquímica: entalpia • 'EM13CNT101'
Questão
Questão
Fonte:
UFTM
Reações: Balanceamento de Equação Redox • 'EM13CNT101'
Questão
Questão
Fonte:
UENP
Equilíbrio: Le Chatelier
Faça parte de uma comunidade de professores direto no seu WhatsApp
Conecte-se com outros professores, receba e compartilhe materiais, dicas, treinamentos, e muito mais!
2026 - Todos os direitos reservados