Logo da Teachy
Entrar

Questão sobre Propriedades dos Compostos Orgânicos: Acidez e Basicidade

Fonte: UNICAMP


Química

'EM13CNT307'

Propriedades dos Compostos Orgânicos: Acidez e Basicidade

Médio

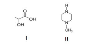
(UNICAMP 2016) - Questão Médio de Química

Question illustration
a.
b.
c.
d.
e.

Gabarito
Iara Tip

Está montando uma prova ou lista de exercícios?

Na plataforma da Teachy é possível gerar esses materiais automaticamente, sem perder horas buscando por questões 😉

2026 - Todos os direitos reservados

Termos de usoAviso de PrivacidadeAviso de Cookies